持续更新|拱墅区、上城区、西湖区、滨江区、钱塘区名单发布!杭州民办初中(含民转公学校)电脑派位结束
杭州网  发布时间:2022-07-19 14:09   

拱墅区

杭州市锦绣中学录取名单——

杭州市文澜中学(民转公学校)录取名单——

杭州观成实验学校初中部(民转公学校):计划招生168人, 报名人数716人,派位比1:4.26。

杭州观成实验学校初中部(民转公学校)录取名单——

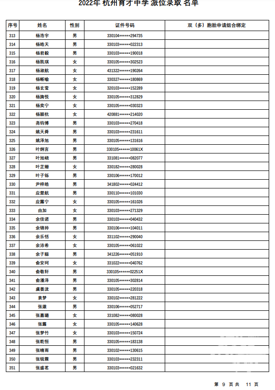
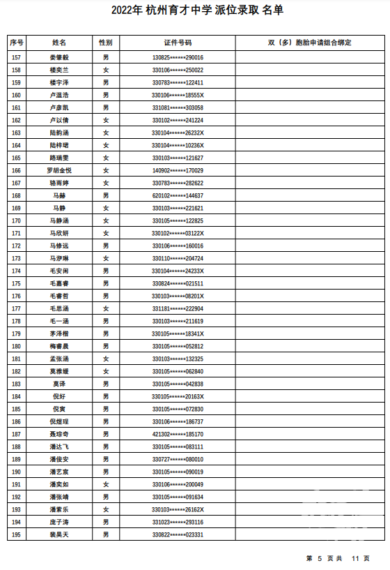
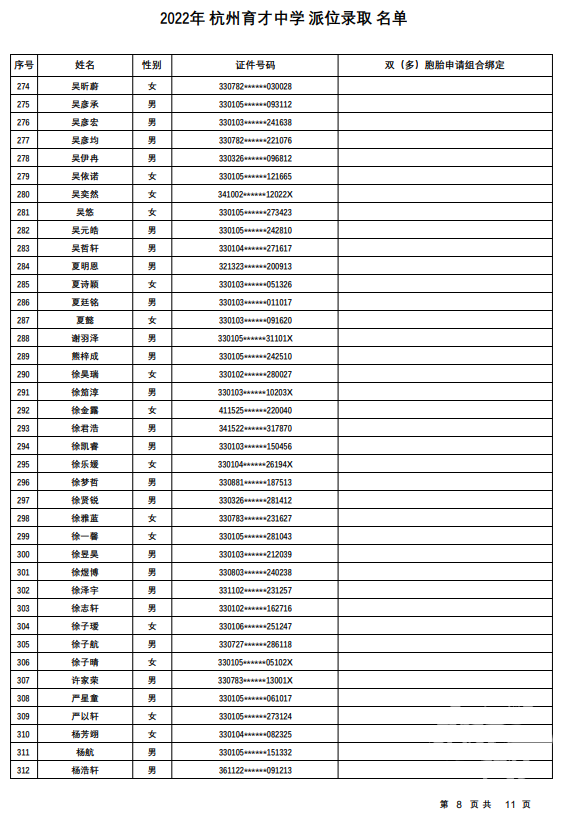
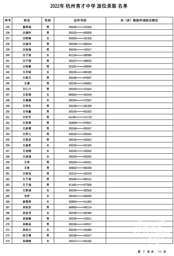
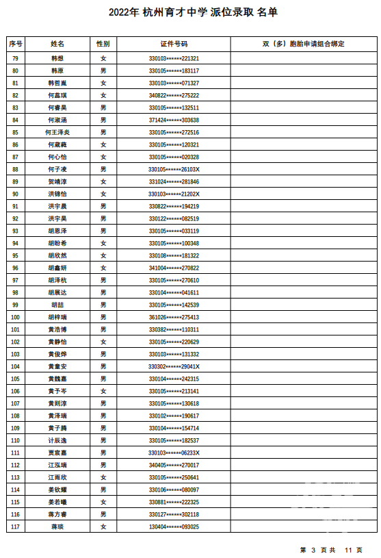
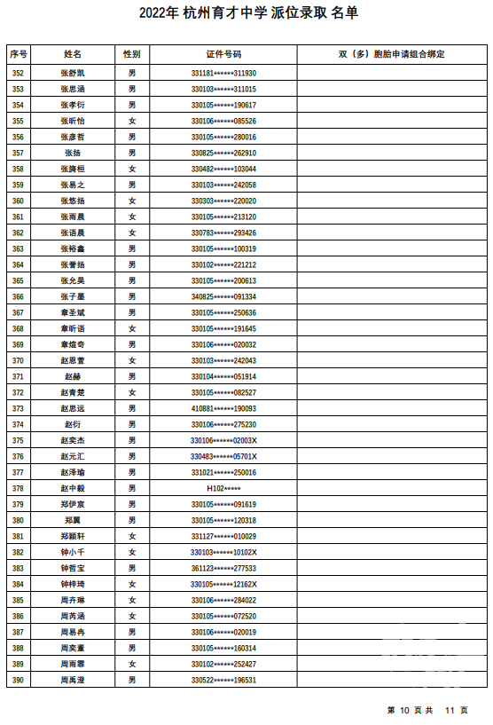
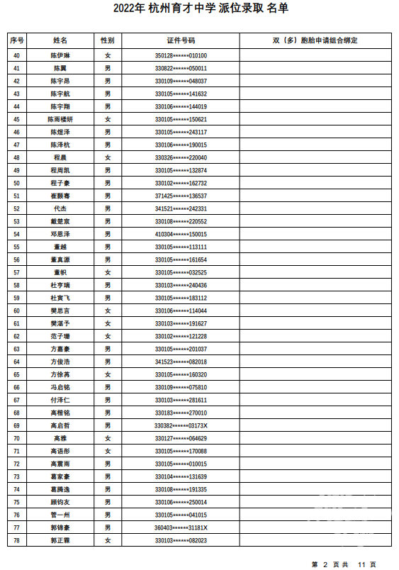
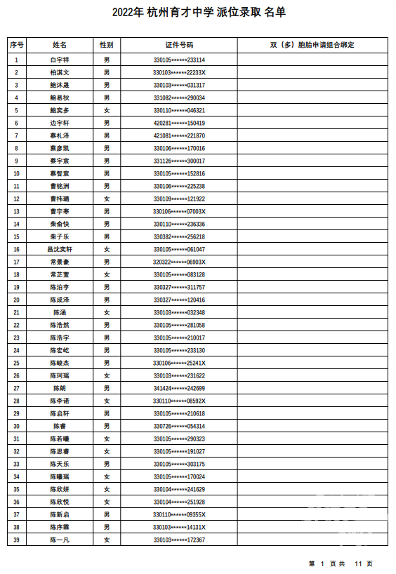
杭州育才中学录取名单发布——

来源:都市快报  作者:记者 林佳琦 张娜  编辑:张翟
返回
今天下午2点,2022年杭州主城区13个报名人数超过招生计划数的民办初中(含民转公学校),进行现场电脑派位。记者将在现场直击,第一时间发布最新消息。