首页
|
原创
|
新闻中心
|
华媒视频
|
杭网议事厅
|
杭州房产
|
汽车
|
图库
|
舆情
|
区县
|
评论
首页
/
城市
/
新政
/
经济
/
社会
/
文体
/
科教卫
所在位置:
杭州网
>
杭州新闻中心
>
科教卫新闻
持续更新|拱墅区、上城区、西湖区、滨江区、钱塘区名单发布!杭州民办初中(含民转公学校)电脑派位结束
杭州网
发布时间:2022-07-19 14:09
上城区
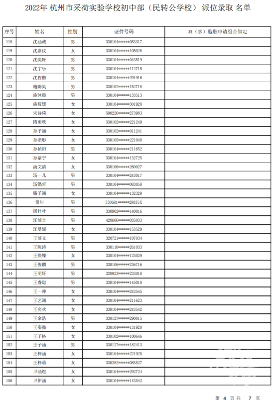
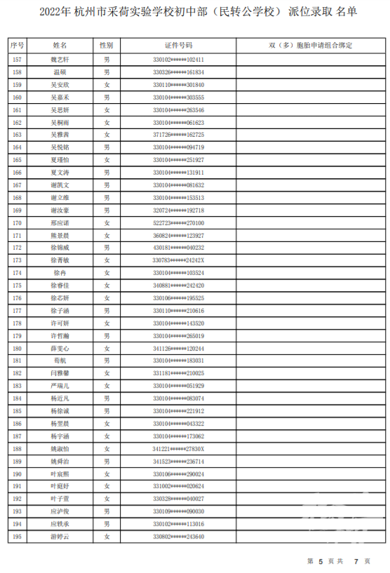
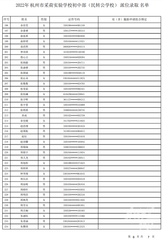
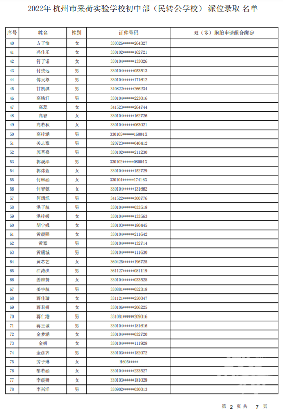
杭州市采荷实验学校初中部(民转公学校)录取名单——
杭州市建兰中学(民转公学校)录取名单——
上一页
1
2
3
4
5
6
7
下一页
全文阅读
来源:都市快报 作者:记者 林佳琦 张娜 编辑:张翟
返回
今天下午2点,2022年杭州主城区13个报名人数超过招生计划数的民办初中(含民转公学校),进行现场电脑派位。记者将在现场直击,第一时间发布最新消息。