持续更新|拱墅区、上城区、西湖区、滨江区、钱塘区名单发布!杭州民办初中(含民转公学校)电脑派位结束
杭州网  发布时间:2022-07-19 14:09   

滨江区

杭州市滨江区滨兰实验学校(初中部):计划招生121人,报名人数225人,派位比1:1.86。

录取名单:

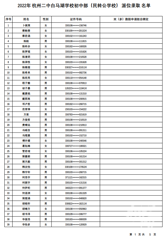
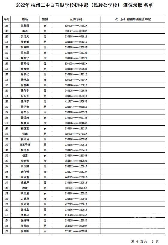
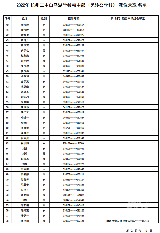
杭州二中白马湖学校初中部(民转公学校):计划招生180人,报名人数771人,派位比1:4.28。

录取名单:

来源:都市快报  作者:记者 林佳琦 张娜  编辑:张翟
返回
今天下午2点,2022年杭州主城区13个报名人数超过招生计划数的民办初中(含民转公学校),进行现场电脑派位。记者将在现场直击,第一时间发布最新消息。