杭州的宝爸宝妈们注意!上城区、拱墅区开启春季托班报名及插班登记,如果自家宝宝符合入园条件,请抓紧时间报名!招生要求、报名时间、报名方式……一起来看!
上城区
2024年幼儿园春季托班招生计划

现场报名时间
2024年1月27日
申请入托对象
2020年9月1日-2021年8月31日出生的,且符合上城区入园条件的儿童。
报名所需材料
(一)户籍儿童:家庭户口本、房产证、父母双方身份证。
市区拆迁户家庭除提供上述材料外,另需提供拆迁协议及实际居住证明(房产证或租赁合同)。市区集体户家庭除提供上述材料外,另需提供实际居住证明(房产证或租赁合同)。
(二)非户籍儿童:适龄儿童本人持有的上城区范围内的《浙江省居住证》、家庭户口本、父母双方身份证、房产证或租赁合同。
(三)其他符合上城区入园条件的儿童(如驻上城区部队的随军子女、各类人才子女、港澳台和外籍儿童等):相关的证明材料和实际居住证明(房产证或租赁合同)。
上述材料均须提供原件,所有报名材料和申报信息均须真实有效,如发现弄虚作假,将取消录取资格。
现场报名所需材料具体以各幼儿园门口张贴或幼儿园公众号发布的托班招生通告为准,请家长提前做好准备。
咨询电话
上城区教育局幼儿园托班招生咨询电话:0571-89501681、89501682
拱墅区
托班报名
入园条件:符合拱墅区幼儿园托班招生要求,并在2020年9月1日-2021年8月31日期间出生的适龄儿童。
如报名人数超过幼儿园招生计划数,则以“住、户一致”为优先原则排序录取。
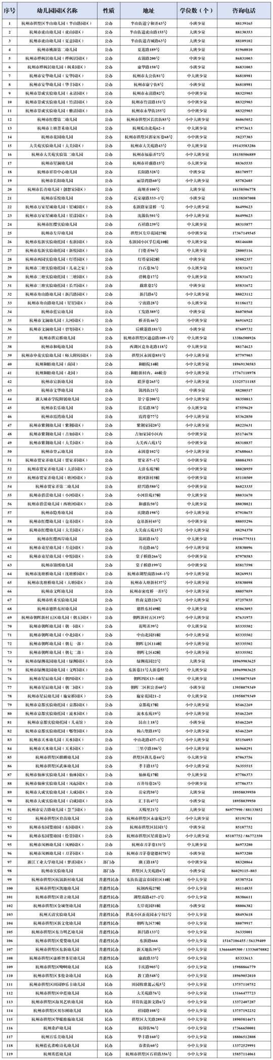
幼儿园托班招生汇总表

插班登记
此阶段小中大班插班名额有限,主要对小、中、大班搬家迁户需插班的儿童进行报名登记,最终视幼儿园学额情况予以录取。
幼儿园有插班名额汇总表

报名登记时间
1月24日-2月2日
报名方式
本次报名采用线下报名方式,符合拱墅区入园条件的儿童可咨询对应幼儿园报名。