最新,高考艺体类首段平行投档分数线发布
杭州网  发布时间:2025-07-17 12:59   

浙江省2025年高考艺术类统考批第一段、体育类第一段平行志愿已于今日上午投档。预计7月19日左右,考生可通过浙江省教育考试院网站或“浙江考试”微信公众号,查询自己的录取情况。

查看分数线预估投档去向

高校专业投档分数线,是被投档到某高校专业的最后一名考生的分数。考生可根据自己的志愿顺序,依次对照相应高校专业投档分数位次与自己的成绩位次,预估当前投档去向。

浙江省2025年普通高校招生

艺术类统考批第一段平行投档分数线

图片

图片

图片

图片

图片

图片

图片

图片

图片

图片

图片

图片

图片

图片

图片

图片

图片

图片

图片

图片

图片

图片

图片

图片

图片

图片

图片

图片

图片

图片

图片

图片

图片

图片

图片

图片

图片

图片

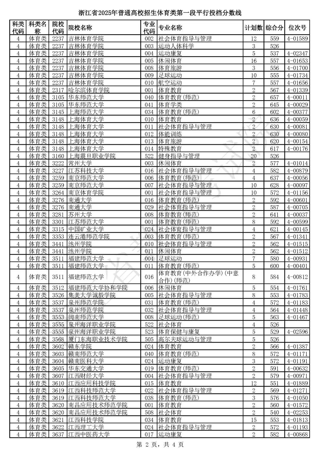
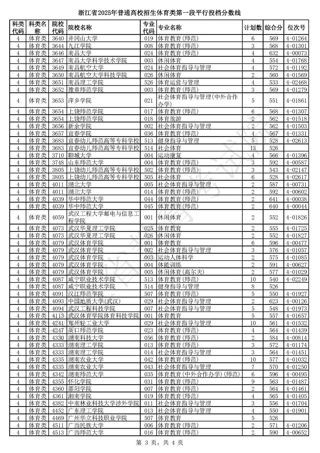
浙江省2025年普通高校招生

体育类第一段平行投档分数线

图片

图片

图片

图片

(原标题:最新,高考艺体类首段平行投档分数线发布)
来源:浙江考试  作者:  编辑:高婷婷
返回
杭州网·杭州新闻门户网站